Determinación del índice de peróxido en muestras de aceite y grasas
La elaboración de un aceite comestible requiere de un control riguroso tanto de la materia prima como de las condiciones de preparación de las mismas, ya que son muchos los factores que pueden influir para alterar la calidad del producto final, muchas veces influye tanto la calidad del fruto o semilla del cual se extraerá el aceite como las condiciones de almacenamiento del producto terminado, ya que la luz y el calor pueden iniciar algunas reacciones indeseadas en los aceites que alteran su sabor.

Fuente: @yusvelasquez.
Uno de los parámetros más importantes a tener en cuenta cuando hablamos de la calidad de un aceite o grasa comestible es el índice de peróxido, ya que este mide el grado de oxidación inicial del aceite, especialmente en la fase primaria de oxidación. Esto es fundamental ya que la oxidación de los lípidos es una de las principales causas del envejecimiento químico de este tipo de alimentos, que tiene como consecuencia el desarrollo de olores y sabores desagradables, que en este producto suele asociarse como que esta rancio. Pero el problema no se limita solo a percibir un producto como desagradable, los subproductos generados de estas reacciones pueden ser muy peligrosos para la salud, por ejemplo, la peroxidación de ciertas grasas están asociadas con inflamaciones que causan artritis y cáncer[1]. Es por ello que también se han impuesto normas al respecto, según la FAO los límites máximos para el índice de peróxido oscila entre 10 y 15 miliequivalentes de oxígeno activo/kg de aceite, dependiendo si es un aceite refinado o prensado respectivamente[2].
Y los aceites y grasas son de los alimentos más fácilmente oxidables, y se produce debido a reacciones de cadena que se presentan fundamentalmente con los ácidos grasos insaturados, el proceso puede iniciarse con pequeñas cantidades de oxígeno, por lo que evitarlo es sumamente difícil, sin embargo existen métodos con los que se puede retrasar la iniciación del proceso. Entonces, debido a las consecuencias que la oxidación de estos alimentos pueden ocasionar y al alto grado de consumo que tienen los aceites y grasas en nuestra dieta, es sumamente importante llevar un seguimiento estricto de este parámetro; y aunque existen varios métodos para la determinación del índice de peróxido, el método por titulación del yodo liberado en la reacción entre un extracto lipídico y una solución de yoduro de potasio es el más empleado, por eso en esta oportunidad quiero compartir con ustedes el método para la determinación del índice de peróxido por esta vía.
Principio de funcionamiento de la prueba
Los ácidos grasos libres en los aceites y grasas reaccionan con el oxígeno atmosférico y producen hidroperóxidos lipídicos, pero son más conocidos solo como peróxidos, estos son compuestos cuya fórmula general se expresa como ROOH; estos compuestos dan lugar a una serie de reacciones consecutivas que generan sustancias volátiles que producen olor y sabor desagradable en los aceites y grasas, y que asociamos con el grado enranciamiento de las grasas. Estas reacciones se aceleran con la temperatura y con la exposición a la luz.
La cantidad de peróxido en la muestra de aceite o grasa indica el grado de oxidación primaria, y se relaciona con la probabilidad del aceite de volverse rancio. De esta forma, mientras mayor sea el índice de peróxido mayor es el grado de oxidación de la muestra, mientras que un bajo valor es indicativo de la buena calidad del producto y adecuado estado de conservación.
La razón de esta alteración en la calidad del aceite o grasa, esencialmente se produce debido a que los dobles enlaces que contenidos en los ácidos grasos que los constituyen, reaccionan con el oxígeno formando sustancias que luego se descomponen en otros compuestos que originan las características desagradables de las grasas oxidadas.
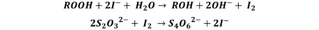
En los métodos oficiales, como el de la AOAC método Cd 8-53(90), los peróxidos se hacen reaccionar con iones de yoduro para formar yodo, luego, el índice de peróxido se determina por titulación del yodo liberado con tiosulfato utilizando el almidón como indicador:

El índice se calcula a partir de los mL de de tiosulfato sódico gastados para reducir el yodo formado en la primera reacción por la acción de los peróxidos presentes.
El índice de peróxido suele expresarse como los miliequivalentes de peróxido por kilogramos de lípido, aunque también se puede dividir entre dos y expresarse como milimoles de oxígeno activo por kilogramo de lípido.
Método de análisis
El siguiente método se encuentra descrito en la norma Venezolana para aceites y grasas vegetales aplicando el método de reacción con yodo y valoración con tiosulfato de sodio[3].
Materiales
Cilindro graduado
Buretas
Erlenmeyers
Pipetas
Balanza
Reactivos
Mezcla de ácido acético glacial y cloroformo. 60% de ácido acético y 40% mL de cloroformo.
Solución saturada de yoduro potásico.
Solución de tiosulfato de sodio 0,1 N.
Solución de tiosulfato de sodio 0,01 N.
Solución indicadora de almidón al 1%.
Procedimiento experimental
1.- Se pesan 5 g de la muestra en un erlenmeyer con tapa de la muestra de aceite o grasa a valorar. Si es una muestra pastosa se puede calentar suavemente hasta comenzar la fusión.

Pesada de una muestra de aceite. Fuente: @yusvelasquez.
2.- Se agregan 30 mL de la solución de ácido acético y cloroformo con ayuda de una pipeta, se agita y se observa que la solución este limpia, en caso contrario se calienta suavemente en baño de maría.

Preparación de la mezcla a valorar. Fuente: @yusvelasquez.
3.- Se agrega 1 mL de la solución de yoduro potásico, se tapa, se agita y se deja reposar 1 minuto.
4.- Pasado el tiempo, se vierten 30 mL de agua destilada con ayuda de piseta y un cilindro graduado. Y se valora con la solución de tiosulfato de sodio 0,1 N o 0,01 N dependiendo de la cantidad de yodo liberado, empleando 0,5 mL de la solución de almidón como indicador. En este momento se observara que la solución se vuelve más oscura.

Aspecto de la mezcla a valorar. Fuente: @yusvelasquez.
5.- Agitar vigorosamente el Erlenmeyer para liberar el yodo de la capa de cloroformo y continuar agregando la solución de tiosulfato de sodio.
6.- Sin dejar de agitar y agregando la solución de tiosulfato gota a gota mantenga la vista en la solución contenida en el Erlenmeyer, el cambio de coloración a incoloro indicará el punto final de la titulación. Registrar el volumen gastado de tiosulfato de sodio.

Titular hasta observar el cambio a incoloro. Fuente: @yusvelasquez.
7.- En paralelo se efectúa un ensayo en blanco, para ello se repiten los pasos del 1 al 4. La valoración de este blanco no debe consumir más de 0,4 mL de la solución 0,01 N de tiosulfato de sodio.
Cálculos
Para calcular el índice de peróxido se emplea la siguiente fórmula:

Donde:
Ip: índice de peróxido en meq O2/Kg
N: normalidad de la solución de tiosulfato de sodio
V: volumen de la solución de tiosulfato de sodio gastado en la titulación, en mL
Vl: Volumen de la solución de tiosulfato de sodio gastado en la titulación del blanco, en mL
P: peso de la muestra en gramos.
Precauciones
Los materiales de vidrio a utilizar se deben lavar con detergente sintético o alguna sustancia que elimine compuestos orgánicos, y tomar la precaución de que todo el material este completamente seco antes de empezar a trabajar.
La solución de indicador de almidón se debe preparar inmediatamente antes de uso.
Conclusión y aporte
El índice de peróxido es un parámetro muy importante en la industria de los aceites y las grasas comestibles para determinar el calidad de un aceite, ya que el contenido de peróxidos define el estado de oxidación primaria del producto y nos da por tanto una estimación de su tendencia al enranciamiento; condición que se puede producir por condiciones como la exposición prolongada al aire, temperaturas elevadas y/o a la acción directa de la luz solar. Por lo que es una reacción que se puede producir con mucha facilidad, de ahí la importancia del monitoreo constante de este parámetro.
Este artículo nos permite socializar como se realiza este método analítico, el cual se basa en una volumetría redox y es ampliamente usado en los laboratorios de análisis químico de alimentos; por lo que sirve de guía para los estudiantes de química analítica y química en general que requieren información sobre la determinación de peróxidos en muestras de aceites y grasas, también sirve para dar a conocer al público en general la importancia de este parámetro para determinar la calidad de un aceite o grasa.
Bueno amigos, hasta aquí el presente post, espero que la información presentada les sea de mucha utilidad, recordándoles que un resultado confiable en el análisis químico depende de aplicar la técnica analítica apropiada. ¡Hasta un próximo post!
Referencias
- Rojano, B. (1997). Oxidación de lípidos y antioxidantes. Universidad Nacional de Colombia.
- FAO (1999). [Normas para aceites vegetales especificados.](file:///C:/Users/Usuario/AppData/Local/Temp/CXS_210s_2015.pdf)
- Norma Venezolana COVENIN 508:2001. Aceite y grasa vegetal. Determinación del índice de peróxido.
- Asosiation of Official Analytical Chemist (A.O.A.C), método Cd 8-53(90).
Thanks for your contribution to the STEMsocial community. Feel free to join us on discord to get to know the rest of us!
Please consider supporting our funding proposal, approving our witness (@stem.witness) or delegating to the @stemsocial account (for some ROI).
Thanks for using the STEMsocial app and including @stemsocial as a beneficiary, which give you stronger support.
Muchas gracias por el apoyo amigos!
Muchas gracias amigo @rbalzan79, espero como dices se aprecie el detalle practico del método, me alegra que lo encontraras muy didáctico. Saludos!
https://twitter.com/EspanolStem/status/1308822874715717632
Es muy importante ver la importancia del piroxido dentro de las industrias ya que nos ayudaría a determinar la calidad de un aceite y su estado de oxidación, y que es importante llevar un buen monitoreo constante de este parámetro de piroxido. Saludos y gracias por compartir tu articulo
Saludos @sandracarrascal. Es correcto, es muy importante para este tipo de industria para asegurar las calidad del aceite comestible. Gracias a ti por pasar a leer.
Definitivamente este es un importante parámetro de calidad de estos alimentos, y entender el principio del método de análisis es un muy importante para los estudiantes de química analítica. Saludos @yusvelasquez.
Así es @emiliomoron, es muy importante para ellos ya que es un método clasico muy utilizado en los laboratorios de análisis químico.