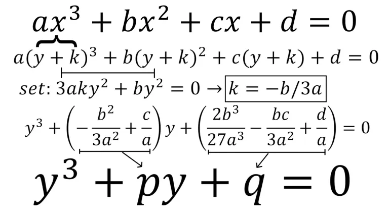
Cubic Formula Proof Step 1: Removing x^2 term via PQ Substitution

In this video I go over the first step in deriving the Cubic Formula, which is to eliminate the x^2 term from the Cubic Equation by using the PQ Substitution method. This allows us to later apply Vieta's substitution to obtain a quadratic formula, which we can solve. https://youtu.be/2OmDtnfdNdc - summary - playlist - notes
For the best experience view this post on Liketu
math
science
education
calculus
stemgeeks
stemsocial
chessbrothers
freecompliments
liketu
mathematics
0
0
0.000
This one, took me a moment to grasp where you were going, with the substitution and then it clicked. I will go back and start this series at the beginning. Well done.
Great to hear! I hope you like the series.